Theo số liệu thống kê của Tổng cục hài quan, trong tháng 12/2023, kim ngạch xuất khẩu hàng hóa của Việt Nam sang thị trường Nhật Bản đạt hơn 2 tỷ USD, giảm 2,2% so với tháng trước, tính chung năm 2023, kim ngạch xuất khẩu đạt 23,3 tỷ USD, giảm 3,8% so với năm trước đó.
Với dân số hơn 126 triệu người, Nhật Bản là thị trường có nhu cầu nhập khẩu và tiêu thụ lớn đối với các sản phẩm: cá và sản phẩm chế biến từ cá, tôm, lươn, thịt, sản phẩm từ thịt, đậu nành, sản phẩm từ ngũ cốc, rau quả tươi và chế biến, cà phê…
Trong khi đó, Việt Nam được đánh giá là quốc gia có thế mạnh về những mặt hàng nói trên và có khả năng cung ứng tốt cho thị trường Nhật Bản.
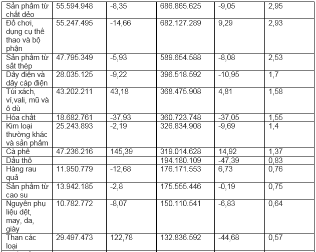
Dẫn đầu kim ngạch xuất khẩu trong năm 2023 là: Hàng dệt may đạt 4,05 tỷ USD, chiếm 17,4% tỷ trọng xuất khẩu. Tiếp đến là phương tiện vận tải và phụ tùng đạt 2,94 tỷ USD, tăng 16%, chiếm 12,6%. Tiếp sau là nhóm hàng máy móc, thiết bị, dụng cụ và phụ tùng đạt 2,7 tỷ USD, chiếm 11,7% tỷ trọng xuất khẩu.
Một số mặt hàng đạt kim ngạch xuất khẩu tăng trưởng trong năm 2023: Điện thoại các loại và linh kiện tăng 12,8; hạt điều tăng 10,4%; sắn và các sản phẩm từ sắn tăng 476,9%.
Đánh giá cao tiềm năng hợp tác thương mại và đầu tư giữa Việt Nam và Nhật Bản, nhất là liên quan tới mặt hàng nông sản, thực phẩm, theo các chuyên gia từ Nhật Bản, hàng nông sản, thực phẩm của Việt Nam ngày càng được người tiêu dùng Nhật Bản đón nhận.
Để tạo lực đẩy cho nông sản, thực phẩm Việt Nam tiến sâu vào thị trường Nhật Bản, Thương vụ Việt Nam tại Nhật Bản khuyến cáo, các DN không chỉ quan tâm tới chất lượng, giá cả mà cần tích cực củng cố, đẩy mạnh nâng cao hình ảnh, thương hiệu hàng Việt Nam.
Số liệu xuất khẩu hàng hóa Việt Nam sang Nhật Bản năm 2023
(Tính toán số liệu công bố ngày 13/1 của TCHQ)



Thu Nga
Theo vinanet.vn

Bình luận
0 Bình luận